Šilalės vandenys
Šilalės vandenys
Toggle navigation
Titulinis
Apie mus
Svarbi informacija
Administracinė informacija
Struktūra ir kontaktai
Įmonės struktūra
Darbuotojų kontaktai
Tarnybiniai lengvieji automobiliai
Darbo užmokestis
Laisvos darbo vietos
Korupcijos prevencija
Teisės aktai
Nuorodos
Statybos užbaigimo procedūros atlikimo klausimynas
Veikla
Įstatai ir licencija
Veiklos sritis
Veiklos stebėsena
Veiklos planai ir strategija
Bendrovės veikla ir rezultatai
Vandens tiekimas
Vandens kokybė
Vandens išgavimas
Nuotekų tvarkymas
Aplinkos monitoringo ataskaita
Nuotekų tvarkymas kub.m.
Nuotekų tvarkymo aprašas
ES parama vandentvarkos ūkyje
Viešieji pirkimai
Viešųjų pirkimų taisyklės
Pirkimų planai
Ataskaitos
Reguliuojamos veiklos ataskaitos
Finansinės ataskaitos
Veiklos ataskaitos
Teikiamų paslaugų kokybės rodikliai
Klientams
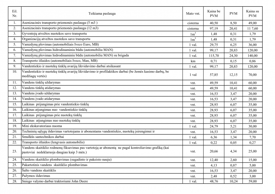
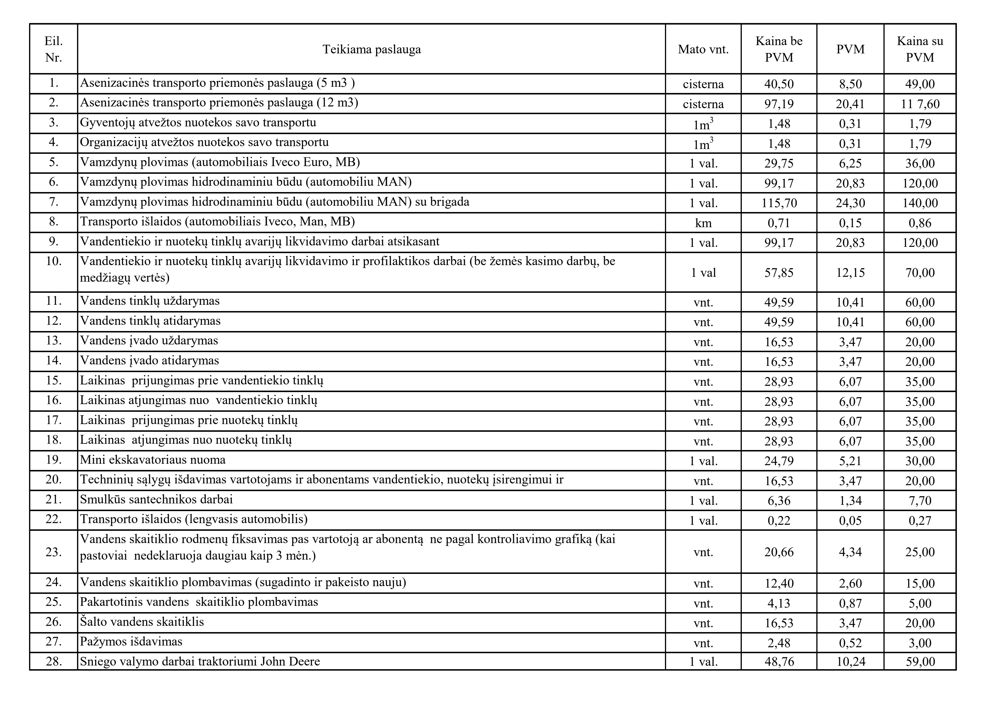
Paslaugos ir jų kainos
Vandens tiekimo ir nuotekų tvarkymo kainos
Teikiamų paslaugų kainos
Atsiskaitymo tvarka
Vidutinis vartotojų sunaudotas geriamojo vandens kiekis
VKEKK informacija
Kaip tapti klientu
Prisijungimo sąlygos
Sutarčių šablonai
Rekomendacijos
Prašymų formos
ASMENS DUOMENŲ APSAUGA
Naujienos
Klausimai ir atsakymai
Klauskite
Teikiamų paslaugų kainos
Teikiamų paslaugų kainos nuo 2024-10-01.pdf
X